Navigation
Detail
Paul und die Terme
Urheber:
Jens Tiburski, CC0
Bildnummer:
P10967
Auflösung:
640x250
Format:
PNG
Quelle:
https://www.schulportal-thueringen.de/pixiothek/detail?tspi=P10967
Kurzbeschreibung:
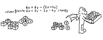
Das Bild gehört zur Serie "Paul". Es zeigt Paul beim Umformen von Termen. Das Bild ist unter CC0 lizenziert und kann somit frei verwendet werden.
Verwandte Bilder (Auswahl)
Symbolbild: Zahl & Operation
(623x643)
Symbolbild: Zahl & Operation
(640x578)
M_Zahlen 20
(180x168)
Prozent
(2056x1542)
Paul und die Terme
(825x350)
M_ZR Mio
(180x169)
Lehrerin, Mathematik
(945x748)
Begriffe aus der Mathematik
(2509x2400)
M_Längen Messen
(448x418)
Verwandte Medien (Auswahl)
Es wurden aktuell keine verwandten Medien gefunden.